行政院、財政部、國防部做案,勇哥阿扁揭密
避免法律糾紛,轉載本區文稿請先徵得原作者同意!
文章回應
鄒筑生
(軍警)
B1 · 2026-04-04 16:41:57
標題: 寫信給總統
內容:
B1 · 2026-04-04 16:41:57
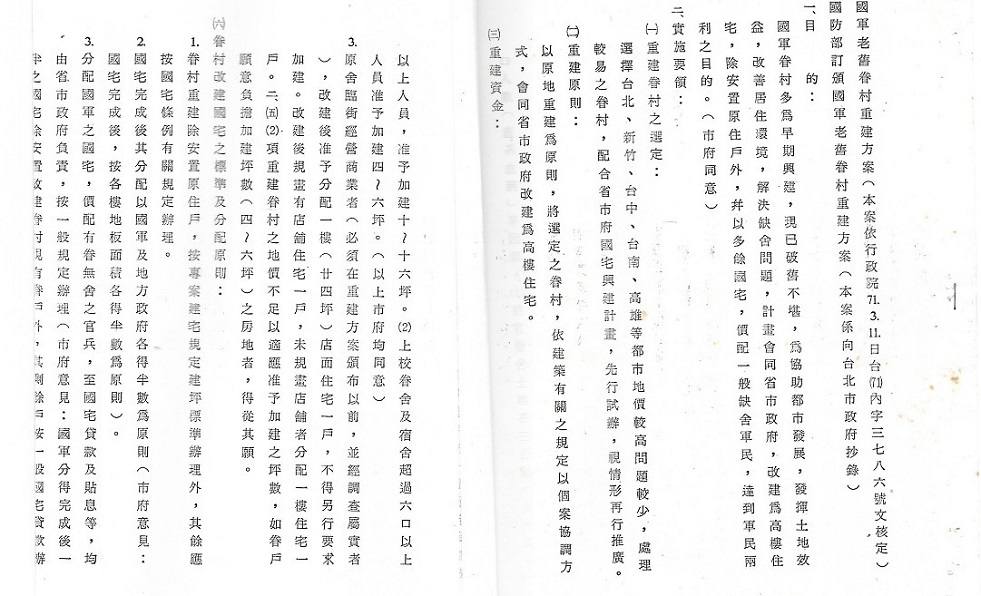
親愛的朋友:您好! 寫信給總統 驗證碼:5A04OGXxxx E-mail:q12300036@yahoo.com.tw 姓 名:鄒筑生 標 題:本案歷經檢、調吃案,軍法、特偵組拒辦...幕後黑手是誰? 內 容: 請告之中正紀念堂建設經費來源...有無不法? 昔有慈禧建園誤軍機,今有太子建館辱軍譽 行政院、財政部、國防部做案,勇哥阿扁揭案 國家之腐敗,已經從根爛了:政戰、軍法、司法、檢調、高級將領、地方政要.... 本案歷經檢、調吃案,軍法、特偵組拒辦...幕後黑手是誰? ...................................................... 文化部部長信箱-轉本部其他單位通知信 親愛的鄒筑生 先生/小姐您好! 關於 臺端詢問案件,已為您轉請本部國立中正紀念堂處理。 敬祝 身體健康 萬事如意 文化部 敬復 姓名 鄒筑生 主旨 請告之中正紀念堂建設經費來源...有無不法? 內容 請公怖華僑捐款明細及總額(含紀念堂完工後的經費總額) 全省800眷村改建,貪瀆金額達數百億,國軍中負責肅貪、防
回應本篇文章!
(以下回應不會連結到FaceBook)(言責自負,請勿涉及人身攻擊,以免挨告!)
尚未 登入會員 ,無法回應!



請告之中正紀念堂建設經費來源...有無不法?



































































行政院、財政部、國防部做案,勇哥阿扁揭密